Fisica campo electrico pontecial electrico en un punto y trabajo para trasladarlo

Fisica campo electrico pontecial electrico en un punto y trabajo para trasladarlo

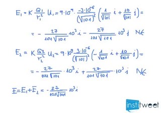
Como se resuelve la fisica. Es un video de como se resuelve un ejercicio de fisica. Tienes mas videos de problemas resueltos en la web www.comoseresuelvelafisica.com y mas problemas resueltos de matematicas en www.comoseresuelve.blogspot.


User: Institweet

Views: 86

Uploaded: 2012-10-14

Duration: 07:28

Your Page Title