Problemas resueltos de planos inclinados ejercicio 3

Problemas resueltos de planos inclinados ejercicio 3

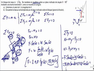
Es un video de un problema resuelto de planos inclinados en la asignatura de fisica. Si quieres ver más problemas resueltos de electrónica, neumática, termodinámica, teoría de circuitos, estructuras, hidráulica o maquinas eléctricas (problemas resueltos de oposiciones tecnología secundaria) visita la Web www.inevid.com, si quieres ver más problemas resueltos de física visita www.comoseresuelvelafisica.com y si quieres mas problemas resueltos de matemáticas visita comoseresuelve.


User: Institweet

Views: 25

Uploaded: 2012-10-28

Duration: 06:39

Your Page Title