Quimica 1º bachillerato disoluciones ejercicio 28

Quimica 1º bachillerato disoluciones ejercicio 28

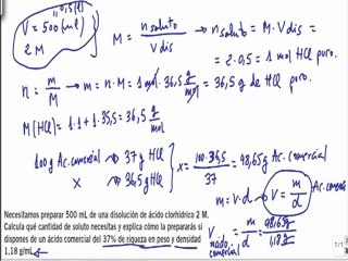
Es un video de un problema resuelto de Química de 1º de Bachillerato. Si quieres ver más problemas resueltos de electrónica, neumática, termodinámica, teoría de circuitos, estructuras, hidráulica o maquinas eléctricas (problemas resueltos de oposiciones tecnología secundaria) visita la Web www.inevid.com, si quieres ver más problemas resueltos de física y química visita www.comoseresuelvelafisica.com y si quieres mas problemas resueltos de matemáticas visita comoseresuelve.


User: Institweet

Views: 18

Uploaded: 2012-10-31

Duration: 05:01