Ejercicios y problemas resueltos de ecuaciones con radicales problema 3

Ejercicios y problemas resueltos de ecuaciones con radicales problema 3

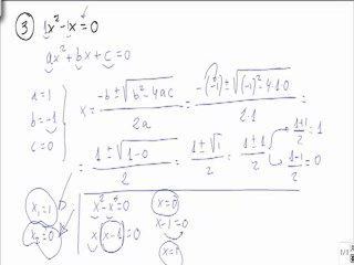
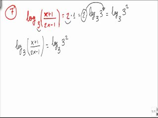
Es un video de un problema resuelto de ecuaciones con radicales. Si quieres ver más problemas resueltos de electrónica, neumática, termodinámica, teoría de circuitos, estructuras, hidráulica o maquinas eléctricas (problemas resueltos de oposiciones tecnología secundaria) visita la Web www.inevid.com, si quieres ver más problemas resueltos de física visita www.comoseresuelvelafisica.com y si quieres mas problemas resueltos de matemáticas visita comoseresuelve.


User: Institweet

Views: 135

Uploaded: 2012-11-05

Duration: 01:07

Your Page Title