Ejercicios resueltos de ecuaciones de segundo grado problema 3

Ejercicios resueltos de ecuaciones de segundo grado problema 3

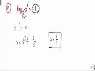
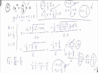
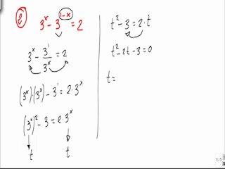
Es un video de un problema resuelto de ecuaciones de segundo grado. Si quieres ver más problemas resueltos de electrónica, neumática, termodinámica, teoría de circuitos, estructuras, hidráulica o maquinas eléctricas (problemas resueltos de oposiciones tecnología secundaria) visita la Web www.inevid.com, si quieres ver más problemas resueltos de física visita www.comoseresuelvelafisica.com y si quieres mas problemas resueltos de matemáticas visita comoseresuelve.


User: Institweet

Views: 575

Uploaded: 2012-11-22

Duration: 03:23

Your Page Title