Maquinas electricas motor calcular corriente absorbida y tension inducida

Maquinas electricas motor calcular corriente absorbida y tension inducida

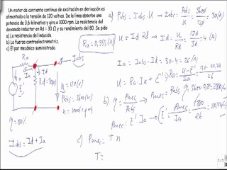
Es un video de un problema resuelto de máquinas eléctricas de corriente continua. Si quieres ver más problemas resueltos de electrónica, neumática, termodinámica, teoría de circuitos, estructuras, hidráulica o maquinas eléctricas (problemas resueltos de oposiciones tecnología secundaria) visita la Web www.inevid.com, si quieres ver más problemas resueltos de física visita www.comoseresuelvelafisica.com y si quieres mas problemas resueltos de matemáticas visita comoseresuelve.blogspot.comEs un video de un problema resuelto de máquinas eléctricas de corriente continua. Si quieres ver más problemas resueltos de electrónica, neumática, termodinámica, teoría de circuitos, estructuras, hidráulica o maquinas eléctricas (problemas resueltos de oposiciones tecnología secundaria) visita la Web www.inevid.com, si quieres ver más problemas resueltos de física visita www.comoseresuelvelafisica.com y si quieres mas problemas resueltos de matemáticas visita comoseresuelve.blogspot.


User: Institweet

Views: 6

Uploaded: 2012-12-01

Duration: 09:36

Your Page Title