Ejercicios y problemas resueltos de ecuaciones con radicales problema 10

Ejercicios y problemas resueltos de ecuaciones con radicales problema 10

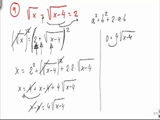
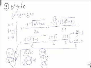
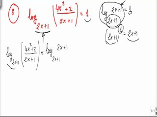
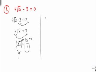
Es un video de un problema resuelto de ecuaciones con radicales. Si quieres ver más problemas resueltos de electrónica, neumática, termodinámica, teoría de circuitos, estructuras, hidráulica o maquinas eléctricas (problemas resueltos de oposiciones tecnología secundaria) visita la Web www.inevid.com, si quieres ver más problemas resueltos de física visita www.comoseresuelvelafisica.com y si quieres mas problemas resueltos de matemáticas visita comoseresuelve.


User: Institweet

Views: 128

Uploaded: 2012-12-05

Duration: 06:13

Your Page Title