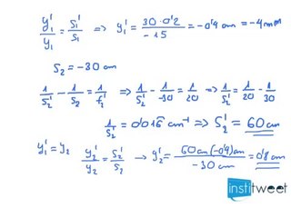
POSICION TAMAÑO VISORES

POSICION TAMAÑO VISORES


User: mariochuck

Views: 54

Uploaded: 2012-12-05

Duration: 01:00

Your Page Title