Problemas resueltos de planos inclinados ejercicio 11

Problemas resueltos de planos inclinados ejercicio 11

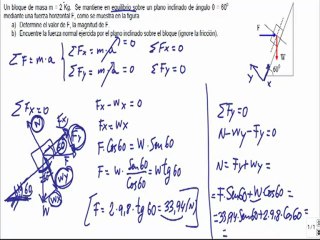
Es un video de un problema resuelto de planos inclinados en la asignatura de fisica. Si quieres ver más problemas resueltos de electrónica, neumática, termodinámica, teoría de circuitos, estructuras, hidráulica o maquinas eléctricas (problemas resueltos de oposiciones tecnología secundaria) visita la Web www.inevid.com, si quieres ver más problemas resueltos de física visita www.comoseresuelvelafisica.com y si quieres mas problemas resueltos de matemáticas visita comoseresuelve.


User: Institweet

Views: 136

Uploaded: 2012-12-09

Duration: 04:02

Your Page Title