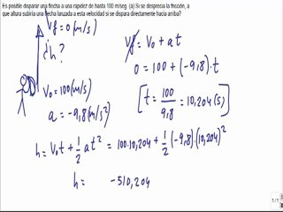
Problemas resueltos de caida libre ejercicio 5

Problemas resueltos de caida libre ejercicio 5

¿Te gustan los videos? Pues sigueme y verás como no te arrepientes. Visita mi blog comoseresuelvelafisica y encontrarás miles de ejercicios de fisica y quimica resueltos en video. También puedes seguirme en mi página de Facebook. Ayudame a llegar a los 1000 Me Gusta y continuaré haciendo videos. Un saludo.br Es un video de un problema resuelto de caida libre. Si quieres ver más problemas resueltos de electrónica, neumática, termodinámica, teoría de circuitos, estructuras, hidráulica o maquinas eléctricas (problemas resueltos de oposiciones tecnología secundaria) visita la Web www.inevid.com, si quieres ver más problemas resueltos de física visita www.comoseresuelvelafisica.com y si quieres mas problemas resueltos de matemáticas visita comoseresuelve.


User: Institweet

Views: 5

Uploaded: 2013-01-31

Duration: 03:11