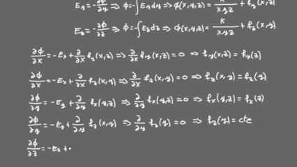
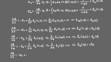
Fisica campo electrico vector intensidad de campo electrico

Fisica campo electrico vector intensidad de campo electrico

¿Te gustan los videos? Pues sigueme y verás como no te arrepientes. Visita mi blog comoseresuelvelafisica y encontrarás miles de ejercicios de fisica y quimica resueltos en video. También puedes seguirme en mi página de Facebook. Ayudame a llegar a los 1000 Me Gusta y continuaré haciendo videos. Un saludo.br Como se resuelve la fisica. Es un video de como se resuelve un ejercicio de fisica. Tienes mas videos de problemas resueltos en la web www.comoseresuelvelafisica.com y mas problemas resueltos de matematicas en www.comoseresuelve.blogspot.


User: Institweet

Views: 35

Uploaded: 2013-01-31

Duration: 03:05

Your Page Title