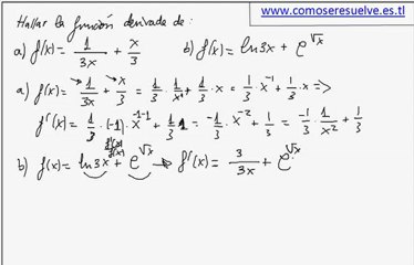
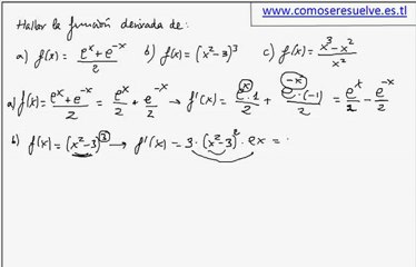
Derivada de otra funcion por reglas de derivacion ejemplo 5

Derivada de otra funcion por reglas de derivacion ejemplo 5

¿Te gustan los videos? Pues sigueme y verás como no te arrepientes. Visita mi blog comoseresuelvelafisica y encontrarás miles de ejercicios de fisica y quimica resueltos en video. También puedes seguirme en mi página de Facebook. Ayudame a llegar a los 1000 Me Gusta y continuaré haciendo videos. Un saludo.


User: Institweet

Views: 178

Uploaded: 2013-01-31

Duration: 03:55