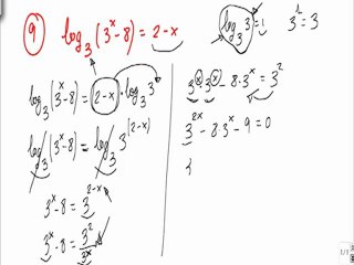
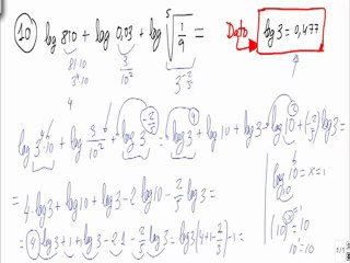
Ejercicios y problemas resueltos de logaritmos problema 24

Ejercicios y problemas resueltos de logaritmos problema 24

Es un video de un problema resuelto logaritmos. Si quieres ver más problemas resueltos de electrónica, neumática, termodinámica, teoría de circuitos, estructuras, hidráulica o maquinas eléctricas (problemas resueltos de oposiciones tecnología secundaria) visita la Web www.inevid.com, si quieres ver más problemas resueltos de física visita www.comoseresuelvelafisica.com y si quieres mas problemas resueltos de matemáticas visita comoseresuelve.


User: Institweet

Views: 184

Uploaded: 2013-01-24

Duration: 02:40

Your Page Title