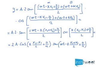
Fisica fenomenos ondulatorios determinar la amplitud de la onda resultante

Fisica fenomenos ondulatorios determinar la amplitud de la onda resultante

Como se resuelve un ejercicio de fisica. Tienes mas videos de problemas resueltos de fisica en la web www.comoseresuelvelafisica.com y mas videos de ejercicios resueltos de matematicas en www.comoseresuelve.blogspot.


User: Institweet

Views: 4

Uploaded: 2013-01-24

Duration: 04:39