Asintotas de una funcion

Asintotas de una funcion

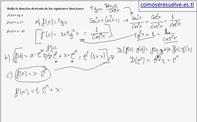
Como se resuelve. Calcular las asintotas de una funcion. Más ejercicios en mi pagina www.comoseresuelve.es.


User: Institweet

Views: 123

Uploaded: 2013-01-12

Duration: 02:17

Your Page Title