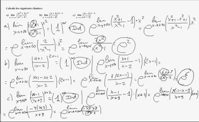
limites uno elevado a infinito de 2º de bachillerato

limites uno elevado a infinito de 2º de bachillerato

Como se resuelve.


User: Institweet

Views: 2

Uploaded: 2013-01-12

Duration: 09:21