Sistema de ecuaciones con 2 incognitas

Sistema de ecuaciones con 2 incognitas

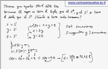
Como se resuelve. Se trata de un problema de sistema de ecuaciones con dos incognitas y dos ecuaciones. Mas ejercicios en mi web.


User: Institweet

Views: 6

Uploaded: 2013-01-24

Duration: 03:54