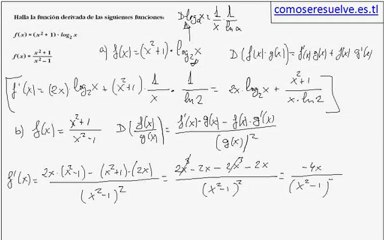
Derivada de una función 5

Derivada de una función 5

Como se resuelve.


User: Institweet

Views: 1

Uploaded: 2013-01-24

Duration: 04:25

Your Page Title