Two dimensional Geometry, Straight Lines and Pairs of Straight lines - Special Formula

Two dimensional Geometry, Straight Lines and Pairs of Straight lines - Special Formula

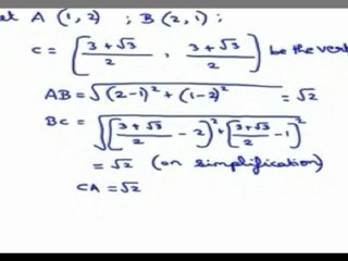
Practice questions for Two dimensional Geometry, Straight Lines and Pairs of Straight lines 


User: Saameer Mody

Views: 1

Uploaded: 2011-08-17

Duration: 03:39

Your Page Title